Toggle navigation
ND Maths
Home
Diploma
Basic Mathematics
Applied Mathematics
Mechanics
Strength of Material (SOM)
Degree
Applied Mathematics I
Applied Mathematics II
Applied Mathematics III
Applied Mathematics IV
School
8th ( English )
8th ( URDU )
9th ( ENGLISH )
9th ( URDU )
SSC ( ENGLISH )
SSC ( URDU )
About
Contact
Home
S S C
S S C
Part 1
Chapter 1 - LINEAR EQUATION IN TWO VARIABLE
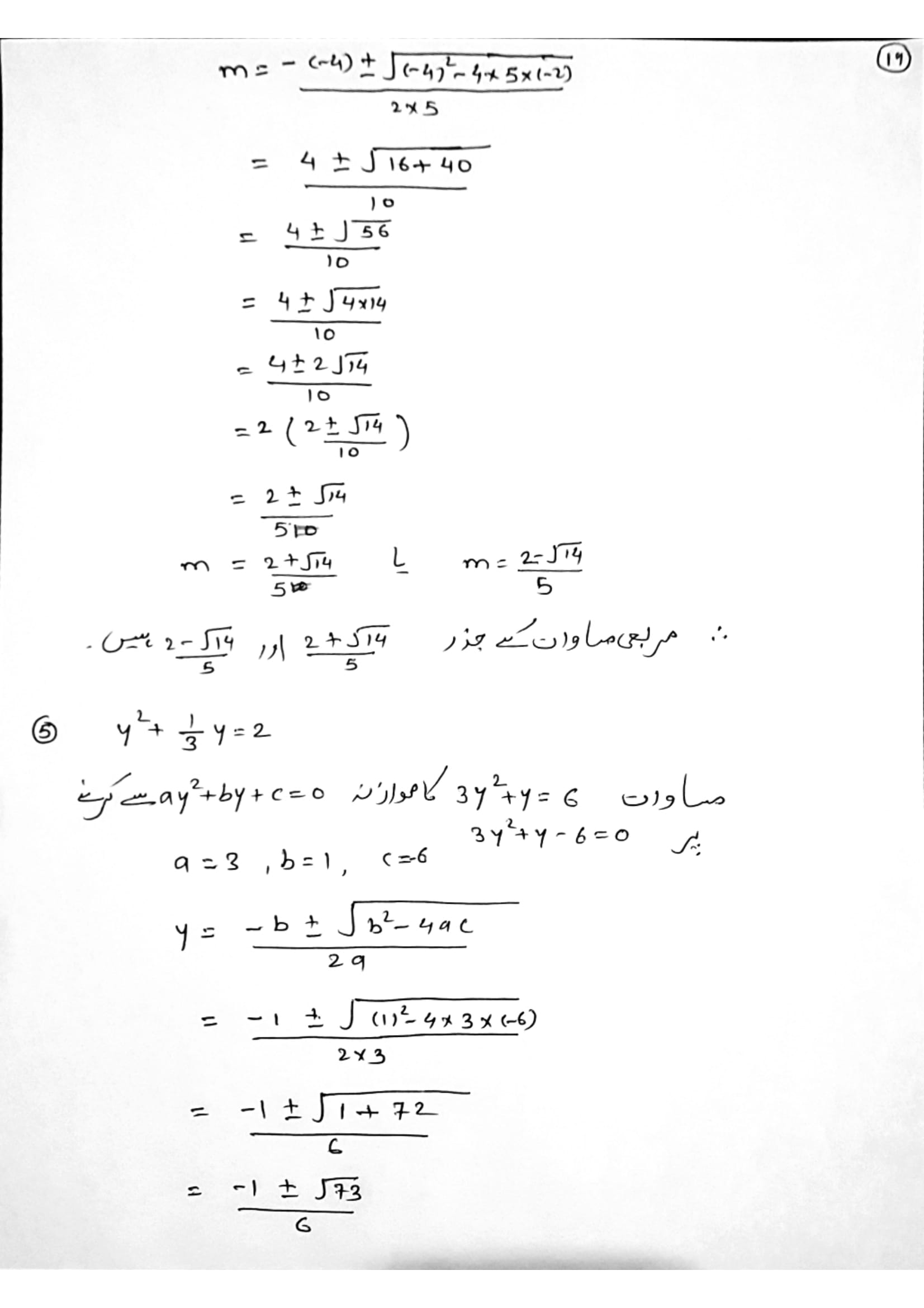
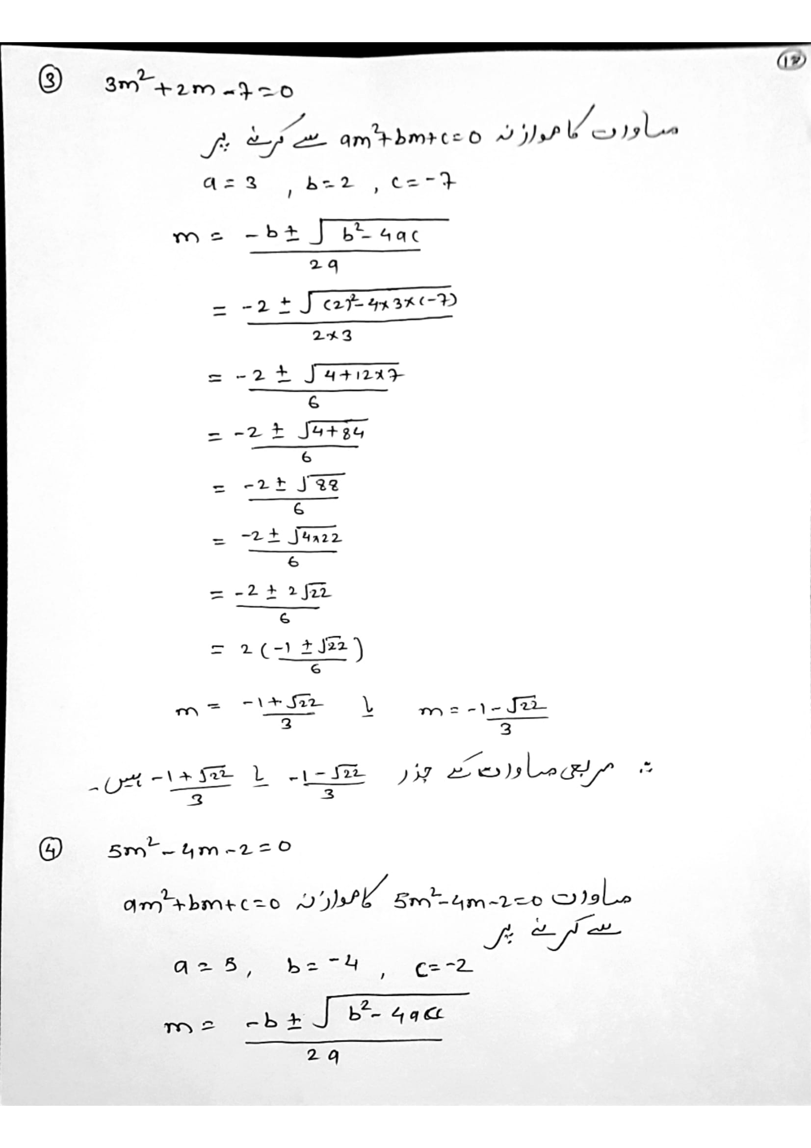
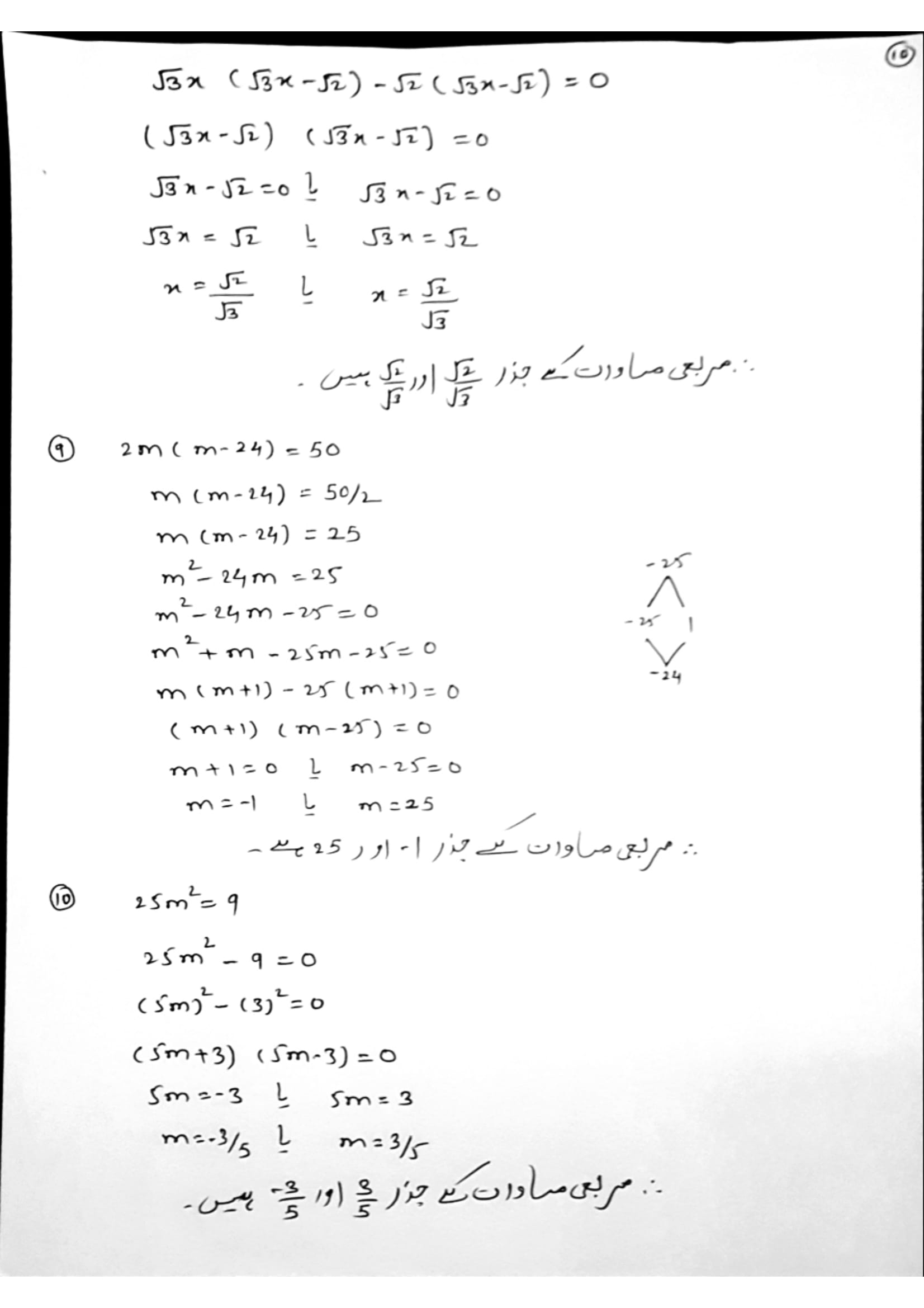
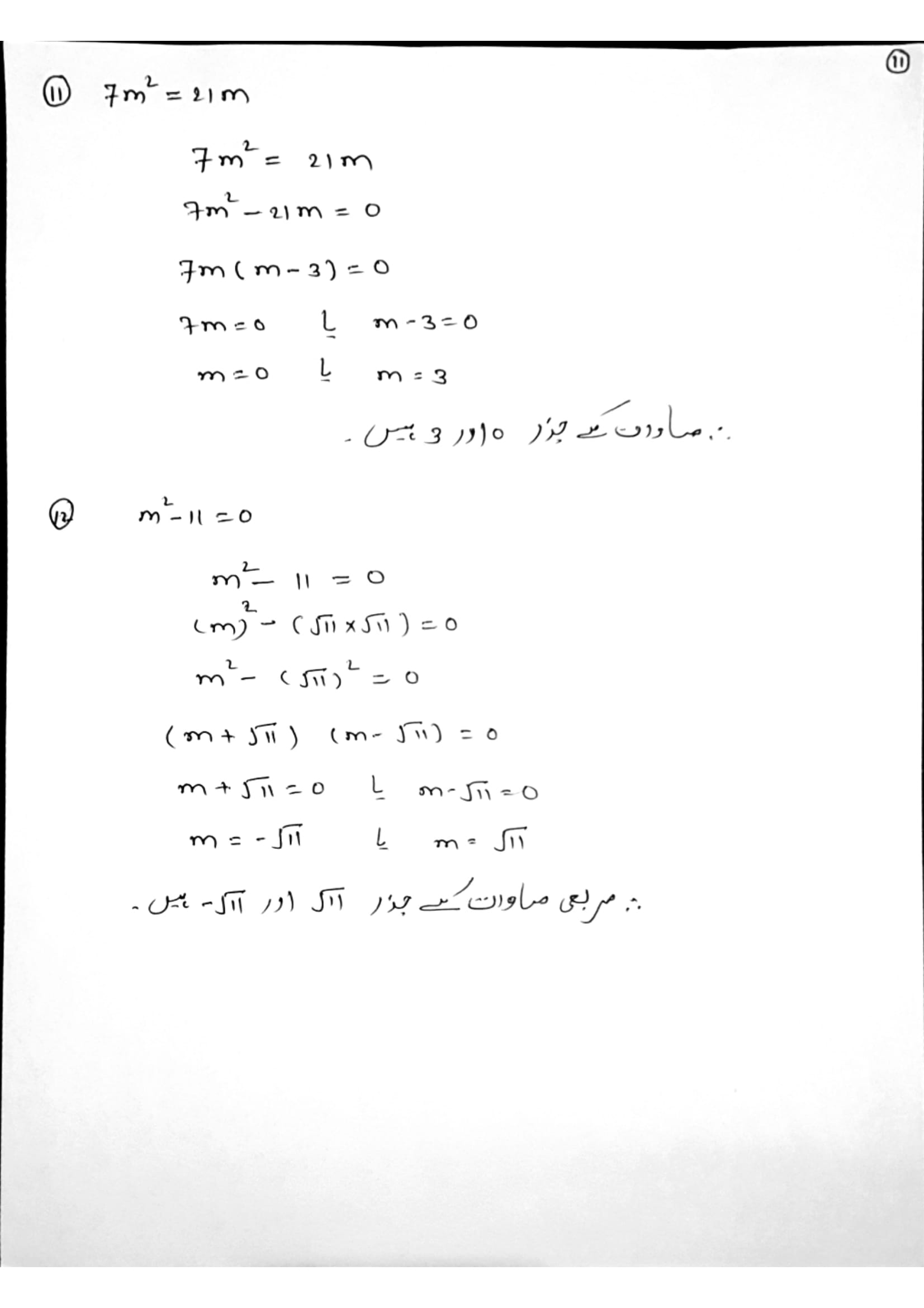
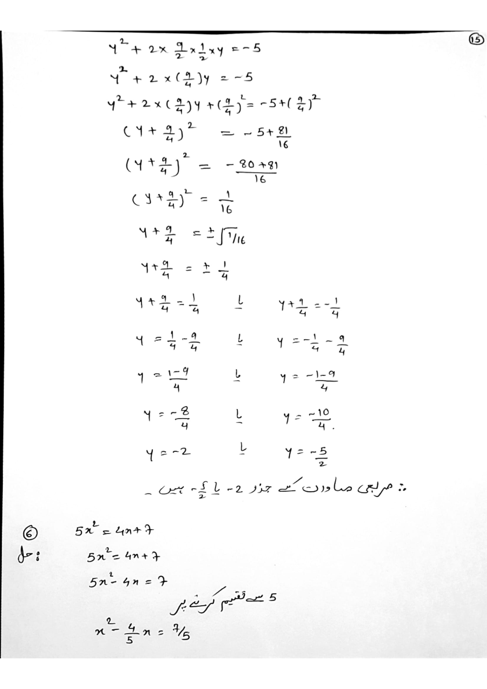
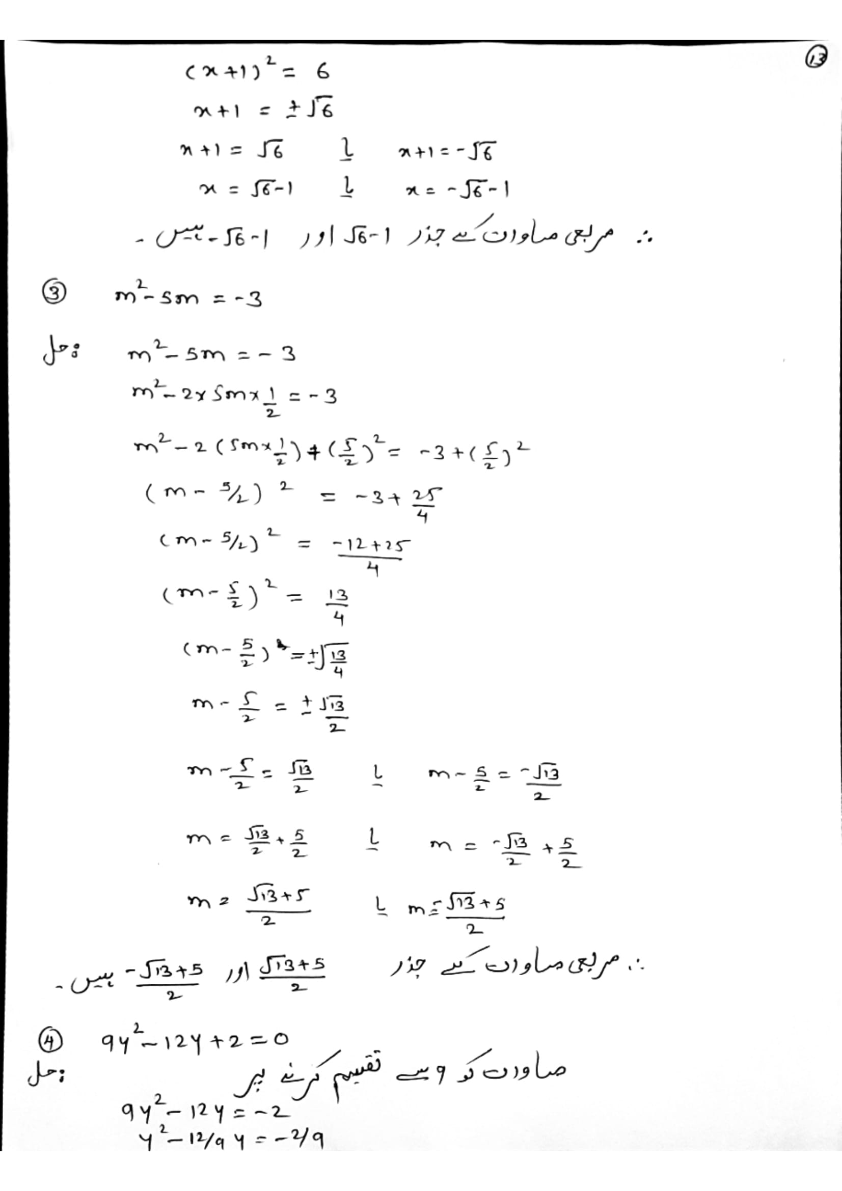
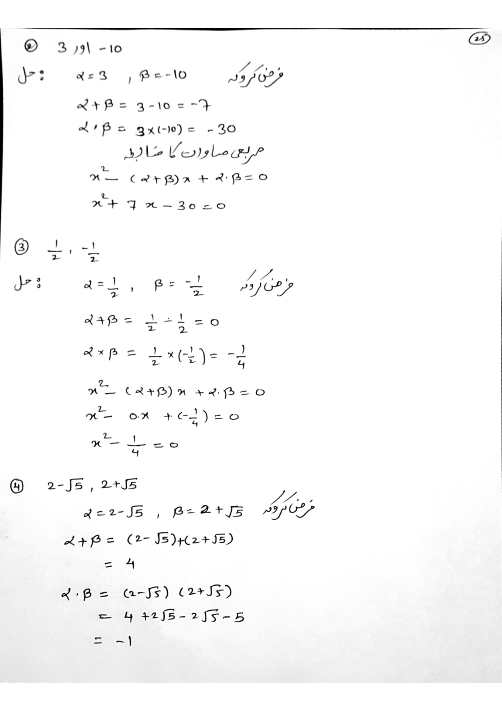
Chapter 2 - QUADRATIC EQUATION
Chapter 3 - ARITHMETIC PROGRESSION
Chapter 4 - FINANCIAL PLANNING
Chapter 5 - PROBABILITY
Chapter 6 - STATISTICS
Part 2
Chapter 1 - SIMILARITY
Chapter 2 - PYTHAGORAS THEOREM
Chapter 3 - CIRCLE
Chapter 4 - GEOMETRIC CONSTRUCTION
Chapter 5 - CO-ORDINATE GEOMETRY
Chapter 6 - TRIGONOMETRY
Chapter 7 - MENSURATION